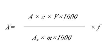
凯氏定氮仪测定三聚氰胺中的氮含量
高效液相色谱仪测定原料乳与乳制品中三聚氰胺含量
卸完煤油装豆油,原来 老干妈 真被误伤了
临沂天财木业供应三聚氰胺贴面基板-山东临沂天财木业(国际贸易部)
全桉木十八厘多层三聚氰胺生态基板,双面漂白-临沂市新潮木业板材厂
婴儿奶粉中三聚氰胺检测方法
惊曝 网红儿童餐具三聚氰胺超标,名创优品也翻车了
铝挂板资讯 铝挂板行情 铝挂板动态 热点 知识 八方资源网
长治市沁源县三层聚乙烯防腐钢管欢迎咨询
化易天下 三聚氰胺 华丽变身 ,或将使汽车 航空航天等带变革
微话题23 我国所有食品设三聚氰胺限量值 超限一律禁售
品牌 生产供应商厂家 今日行情价格走势 南宫市亚美抛光材料制品厂
福建三聚氰胺科技木皮服务放心可靠 德临板材
强强联合 三聚氰胺浸渍纸表面uv涂装板受市场追捧之因
T676
2024年01月01日 01月08日三聚氰胺行情监测
免漆板 三聚氰胺板 这些差别要区分
利好不足 三聚氰胺市场偏弱运行
4月1日生意社三聚氰胺基准价为7275.00元 吨
2009年三聚氰胺热点考题下载 化学
如若转载,请注明出处:http://www.xinqiangwood.com/product/list-10.html